近日,AV狼
青年教师黄旭东博士以第一作者在自然指数期刊《Physical Review D》上发表题为“QCD corrections of e+ + e- → J/ψ + c + cbar using the principle of maximum conformality”的最新研究成果,AV狼
为第一单位。
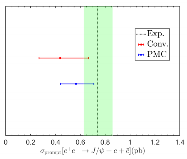
粲夸克偶素物理一直是检验非相对论量子色动力学(NRQCD)有效理论的前沿课题。例如,J/ψ在B工厂中通过正负电子湮灭到双粲的产生,既为人们研究重夸克偶素产生机制提供了机遇,也对NRQCD理论的有效性提出了巨大的挑战。对于单举过程,e+ + e- → J/ψ + c + cbar过程的实验测量结果为0.74pb,比包括了NRQCD领头阶的色单态和色八重态的理论预言(0.1~0.2pb)大了约5倍。当计算了e+ + e- → J/ψ + c + cbar的次领头阶QCD辐射修正后,缩小了理论预言和实验结果之间的差距,验证了理论结果的正确性。但是,由于粲物理能区较为靠近非微扰区域,其微扰展开收敛性不是特别的好,次领头阶截面是领头阶截面的1.8倍左右,并且其次领头阶截面仍然存在较大的重整化能标依赖,e+ + e- → J/ψ + c + cbar的次领头阶预言存在43%-132%的误差范围。本研究基于最大共形原理(PMC)在次领头阶精度下成功消除了此过程的重整化能标不确定性。这一改进使得其总截面的理论预言与Belle实验组的测量结果之间的差距进一步缩小约17%,并且能成功解释动量分布微分截面的实验测量结果。

图为:PMC能标设定方法和传统能标设定方法下次领头阶微分截面与Belle实验组测量结果的对比

图为:PMC能标设定方法和传统能标设定方法下次领头阶总截面与Belle实验组测量结果的对比
原文链接://doi.org/10.1103/PhysRevD.110.114010
一审一校:黄旭东,二审二校:赵和平,三审三校:杨云